Введение. Постановка вопроса.
В школьной программе вопросы правильных многогранников не рассматриваются, поэтому не многие знают (да я и сам не так давно узнал), что правильных многогранников в трёхмерном Евклидовом пространстве всего пять:
1. Тетраэдр:
2. Куб:

3. Октаэдр:

4. Додекаэдр:
5. Икосаэдр:

В трёхмерном пространстве правильным многогранником называется многогранник, у которого все рёбра равны между собой и все грани равны между собой. Т.е. грани представляют из себя правильные многоугольники.
У таких многогранников во всех вершинах сходится одинаковое количество рёбер и одинаковое количество граней. Т.е. все вершины тоже имеют одинаковое строение.
Оказывается, такие многогранники удобно обозначать их символом Шлефли {p1, p2}, характеризующим их комбинаторное строение. Который означает, что p1 угольники, сошлись по p2 штук в вершине.
В такой записи наши многогранники получат обозначения:
1. Тетраэдр {3, 3},
2. Куб {4, 3},
3. Октаэдр {3, 4},
4. Додекаэдр {5, 3},
5. Икосаэдр {3, 5}
Например, {4, 3} — куб имеет 4 угольные грани, в каждой вершине сходится по 3 таких грани.
У октаэдра {3, 4} наоборот, грани 3 угольные, сходятся по 4 штуки в вершине.
Таким образом символ Шлефли полностью определяет комбинаторное строение многогранника.
Почему правильных многогранников всего 5? Может быть их больше?
Чтобы сполна дать ответ на этот вопрос, нужно сначала получить интуитивное представление о геометрии на сфере и на плоскости Лобачевского, для тех, у кого такого представления ещё нет. Постараюсь дать необходимые объяснения.
Сфера
1. Что такое точка на сфере? Думаю, что всем интуитивно понятно. Мысленно не сложно представить точку на сфере.

2. Что такое отрезок на сфере? Берём две точки и соединяем их кратчайшим расстоянием на сфере, получится дуга, если смотреть на сферу со стороны.

3. Если продолжить этот отрезок в обе стороны, то он замкнётся и получится окружность. При этом плоскость окружности содержит центр сферы, это следует из того, что две исходные точки мы соединили кратчайшим, а не произвольным, расстоянием. Это со стороны она выглядит, как окружность, а в терминах сферической геометрии это прямая, так как была получена из отрезка, продолжением до бесконечности в обе стороны.

4. И, наконец, что такое треугольник на сфере? Берём три точки на сфере и соединяем их отрезками.

По аналогии с треугольником можно нарисовать произвольный многоугольник на сфере. Для нас принципиально важно свойство сферического треугольника, заключающееся в том, что сумма углов у такого треугольника больше 180 градусов, к которым мы привыкли в Евклидовом треугольнике. Более того, сумма углов у двух различных сферических треугольников различна. Чем больше треугольник, тем БОЛЬШЕ у него сумма углов.

Соответственно, появляется 4-й признак равенства треугольников на сфере — по трём углам: два сферических треугольника равны между собой, если у них соответствующие углы равны.
Для простоты саму сферу проще не рисовать, тогда треугольник будет выглядеть немного раздутым:

Сферу ещё называют пространством постоянной положительной кривизны. Кривизна пространства как раз и приводит к тому, что кратчайшим расстоянием является дуга, а не привычный нам прямолинейный отрезок. Отрезок как бы искривляется.
Лобачевский
Теперь, когда мы познакомились с геометрией на сфере, понять геометрию на гиперболической плоскости, открытую великим русским учёным Николаем Ивановичем Лобачевским, будет тоже не сложно, так как тут всё происходит аналогично сфере, только «наизнанку», «наоборот». Если дуги на сфере мы проводили окружностями, с центром внутри сферы, то теперь дуги надо проводить окружностями с центром за пределами сферы.
Приступим. Плоскость Лобачевского будем представлять в интерпретации Пуанкаре II (Жюль Анри́ Пуанкаре́, великий французский учёный), её ещё называют диск Пуанкаре.
1. Точка в плоскости Лобачевского. Точка — она и в Африке точка.

2. Отрезок на плоскости Лобачевского. Соединяем две точки линией по кратчайшему расстоянию в смысле плоскости Лобачевского.

Кратчайшее расстояние строится следующим образом:

Надо провести окружность ортогональную диску Пуанкаре, через заданные две точки. Центр этой окружности будет находиться всегда за пределами диска. Дуга соединяющая исходные две точки будет кратчайшим расстоянием в смысле плоскости Лобачевского.
3. Убрав вспомогательные дуги, получим прямую E1 — H1 в плоскости Лобачевского.

Точки E1, H1 «лежат» на бесконечности плоскости Лобачевского, вообще край диска Пуанкаре — это всё бесконечно удалённые точки плоскости Лобачевского.
4. И наконец, что такое треугольник в плоскости Лобачевского? Берём три точки и соединяем их отрезками.

По аналогии с треугольником, можно нарисовать произвольный многоугольник на плоскости Лобачевского. Для нас принципиально важно свойство гиперболического треугольника, заключающееся в том, что сумма углов у такого треугольника всегда меньше 180 градусов, к которым мы привыкли в Евклидовом треугольнике. Более того, сумма углов у двух различных гиперболических треугольников различна. Чем больше треугольник, тем МЕНЬШЕ у него сумма углов.

Соответственно, тут тоже имеет место 4-й признак равенства гиперболических треугольников — по трём углам: два гиперболических треугольника равны между собой, если у них соответствующие углы равны.
Для простоты сам диск Пуанкаре иногда можно не рисовать, тогда треугольник будет выглядеть немного «усохшим», «сдутым»:

Плоскость Лобачевского (и вообще пространство Лобачевского любой размерности) ещё называют пространством постоянной ОТРИЦАТЕЛЬНОЙ кривизны. Кривизна пространства как раз и приводит к тому, что кратчайшим расстоянием является дуга, а не привычный нам прямолинейный отрезок. Отрезок как бы искривляется.
Правильные разбиения двумерной Сферы и правильные трёхмерные многогранники
Всё сказанное про сферу и плоскость Лобачевского относится к двумерию, т.е. поверхность сферы — двумерна. Какое это имеет отношению к трёхмерию, указанному в заголовке статьи? Оказывается, каждому трёхмерному правильному Евклидову многограннику взаимно однозначно соответствует своё разбиение двумерной сферы. Лучше всего это видно на рисунке:

Чтобы из правильного многогранника получить разбиение сферы, нужно описать вокруг многогранника сферу. Вершины многогранника окажутся на поверхности сферы, соединив эти точки отрезками на сфере (дугами), получим разбиение двумерной сферы на правильные сферические многоугольники. Для примера сделана видео демонстрация как икосаэдр соответствует разбиению сферы на сферические треугольники и обратно, как разбиение сферы на сферические треугольники, сходящиеся по пять штук в вершине, соответствует икосаэдру.
Чтобы по разбиению сферы построить многогранник, соответствующие дугам вершины разбиения нужно соединить обычными, прямолинейными, Евклидовыми отрезками.
Соответственно символ Шлефли икосаэдра {3, 5} — трёхугольники, сходящиеся по пять штук в вершине, задаёт не только структуру этого многогранника, но и структуру разбиения двумерной сферы. Аналогично и с другими многогранниками, их символы Шлефли задают и структуру соответствующих разбиений. Более того, разбиения плоскости Евклида и плоскости Лобачевского на правильные многоугольники, тоже можно задавать символом Шлефли. Например, {4, 4} — четырёхугольники, сходящиеся по четыре — это всем привычная нам тетрадь в клеточку, т.е. это разбиение плоскости Евклида на квадраты. А есть ли другие разбиения плоскости Евклида? Увидим дальше.
Построение разбиений двумерной сферы, плоскости Евклида и плоскости Лобачевского
Для построения разбиений двумерных пространств постоянной кривизны (таково общее название этих трёх пространств) нам потребуется элементарная школьная геометрия и знание того, что сумма углов сферического треугольника больше 180 градусов (больше Пи), что сумма углов гиперболического треугольника меньше 180 градусов (меньше Пи) и что такое символ Шлефли. Обо всём об этом уже сказано выше.
Итак, возьмём произвольный символ Шлефли {p1, p2}, он задаёт разбиение одного из трёх пространств постоянной кривизны (для плоскости это верно, для пространств высших размерностей дело обстоит сложнее, но ничто нам не мешает исследовать все комбинации символа).

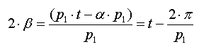
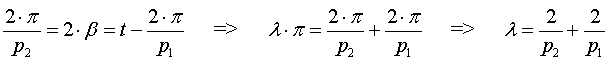
Рассмотрим правильный p1 угольник, проведём отрезки, соединяющие его центр и вершины. Получим p1 штук равнобедренных треугольника (на рисунке показан только один такой треугольник). Сумму углов каждого из этих треугольников обозначим за t и выразим t через пи и коэффициент лямда.

Тогда если лямда = 1, то треугольник Евклидов, т.е. находится в Евклидовой плоскости, если лямда в интервале (1, 3), то это значит, что сумма углов больше пи и значит этот треугольник сферический (не трудно представить, что при увеличении сферического треугольника в пределе получается окружность с тремя точками на ней, в каждой точке угол треугольника получается равным пи, а в сумме 3*пи. Это объясняет верхнюю границу интервала = 3). Если же лямда в интервале (0, 1), то треугольник гиперболический, так как сумма углов у него меньше пи (т.е. меньше 180 градусов). Коротко это можно записать так:

Не трудно посчитать, что:

С другой стороны, для сходимости в вершине p2 штук (т.е. целого числа) таких же многоугольников нужно, чтобы

Приравнивая выражения для 2*бетта, найденные из условия сходимости и из многоугольника:

Получили уравнение которое показывает какое из трёх пространств разбивает фигура заданная своим символом Шлефли {p1, p2}. Для решения этого уравнения надо вспомнить, так же, что p1, p2 — целые числа, большие либо равные 3. Это, так сказать, следует из их физического смысла, так как это p1 угольники (не меньше 3 углов), сходящиеся по p2 штук в вершине (тоже не меньше 3, иначе это не вершина получится).
Решение этого уравнения заключается в переборе всех возможных значений для p1, p2 больших либо равных 3 и вычислении значения лямда. Если оно получится равным 1, то {p1, p2} разбивает плоскость Евклида, если больше 1 но меньше 3, то это разбиение Сферы, если от 0 до 1, то это разбиение плоскости Лобачевского. Все эти вычисления удобно свести в таблицу.

Откуда видно, что:
1. Сфере соответствует всего 5 решений, когда лямда больше 1 и меньше 3, они выделены зелёным цветом в таблице. Это: {3, 3} — тетраэдр, {3, 4} — октаэдр, {3, 5} — икосаэдр, {4, 3} — куб, {5, 3} — додекаэдр. Их картинки были представлены в начале статьи.
2. Разбиениям Евклидовой плоскости соответствует всего три решения, когда лямда = 1, они выделены синим цветом в таблице. Вот как выглядят эти разбиения.



3. И наконец, все остальные комбинации {p1, p2} соответствуют разбиениям плоскости Лобачевского, соответственно таких разбиений бесконечное (счётное) количество. Осталось только проиллюстрировать некоторые из них, для примера.
{3, 7}
{4, 5}
{4, 6}
{4, 7}
{5, 4}
{5, 5}
{5, 6}
{5, 7}
{6, 4}
Итоги
Таким образом, правильных многогранников всего 5, они соответствуют пяти разбиениям двумерной сферы, разбиений плоскости Евклида всего 3, и разбиений плоскости Лобачевского счётное количество.
Какое приложение этих знаний?
Есть люди, которые напрямую интересуются разбиениями сферы: dxdy.ru/topic62800.html,
Есть статьи на Хабре, где также рассматривается интерпретации геометрии Лобачевского. Данная статья, возможно поможет кому-то лучше понять и познакомиться с геометрией Лобачевского.
Знание многогранников так же помогает ответить на вопрос: сколько у футбольного мяча правильных шестиугольников и сколько пятиугольников. Зная, что футбольный мяч — это усечённый икосаэдр, сразу можно дать ответ на этот вопрос: пятиугольников столько, сколько вершин у икосаэдра, шестиугольников столько, сколько граней у икосаэдра, значит, пятиугольников 12, шестиугольников 20.
Да, хотелось бы ещё рассказать про комбинаторную формулу вычисления количества вершин, рёбер и граней у этих пяти правильных многогранников, но это уже в следующий раз, если модераторы вообще пропустят эту статью, а то как-то сложновато получилось, хотя я рассчитывал на школьный уровень знаний читателей.
Так же в следующей статье при наличии интереса читателей планирую показать, как обобщается данный подход на пространства высших размерностей.
Лично для меня знание разбиений позволяет понять структуру этих пространств, особенно это актуально в размерностях выше 3.
Автор: anegrey
