
Исследователь, завороженный величием и красотой мира за пределами своего города, волей судьбы оказывается в местах, где раньше никогда не был. Раненый и обессиленный, он ищет путь домой, встречая на своем пути бездушных и безучастных прохожих, готовых с благоговением наблюдать за гибелью другого. Не готовый мириться с такой социальной несправедливостью, он вмешивается и спасает неизвестное ему существо от прожорливых челюстей страшного монстра. Существо это маленькое, но с большим сердцем, предлагает ему свою помощь в ответ на спасение. А прожорливый монстр становится по иронии судьбы добычей еще большего существа, перед которым трепещут все без исключения.
Звучит, как завязка какого-то голливудского приключенческого фильма, но на самом деле это «Путешествие муравья» (1983) — прекрасный мультфильм, который уже давно разобрали на цитаты. Муравей спасает козявку («от козявки слышу!») из ловушки, сделанной одним очень занятным существом — муравьиным львом. И сегодня мы поговорим именно о них, а точнее о том, как биологи в содружестве с физиками провели исследование структуры ловушек муравьиных львов. Почему такие ловушки нельзя назвать простыми ямами, как личинки муравьиных львов их делают и каковы точные параметры этих смертоносных построек? На эти и другие вопросы мы найдем интереснейшие ответы в докладе ученых. Поехали.
Инструменты, архитектура и ямы смерти
Ученые, которые решили провести данное исследование, утверждают, что использование животными инструментов уж больно переоценено. И это утверждение нельзя назвать необоснованным. Например, шимпанзе используют инструменты для добычи пищи всего в 1% случаев. Куда большего внимания заслуживают постройки, которыми различные существа пользуются на постоянной основе, в том числе гнезда и ловушки для ловли добычи.
Делать ловушки из паутины это сложно, но привычно, а вот шелковые мосты через реки это уже совсем другой уровень мастерства.
Строительство ловушек не самый популярный навык среди обитателей нашей планеты. Среди позвоночных таким умением обладают только люди. А среди беспозвоночных первыми на ум приходят пауки и их сети, сложность, разнообразие и математическая точность которых поражает воображение. Конечно, наши восьминогие друзья не единственные, кто использует производимый собственным телом шелк в качестве строительного материала. Помимо 10 000 видов пауков, шелком пользуются еще и личинки 2000 видов ручейников, а также личинки 4 видов Arachnocampa из рода грибных комариков.
А вот строительство ловушек без применения шелка распространено только среди нескольких сотен видов муравьиных и небольшого числа видов червей. Одним из таких строителей и является личинка муравьиного льва.

Взрослая особь муравьиного льва, играющая в гляделки с фотографом.
Муравьиный лев это не мифическая химера или детище писателя-фантаста, это семейство насекомых, которые очень напоминают стрекоз. Но свое нестандартное имя они получили за внешний вид и повадки личинок.

«Милая» мордашка личинки муравьиного льва.
Личинки муравьиных львов бывают двух видов, в зависимости от поведения. Одни живут в песке и гоняются за своей добычей, так сказать охотятся классическим образом. Другие же, обладающие терпением и архитектурными навыками, сооружают в песке ямы глубиной до 5 см и диаметром примерно 8 см. Сама личинка закапывается в центре своей ловушки, оставляя на поверхности только свои массивные и очень сильные жвалы. Жертва, как правило муравей, имея неосторожность ступить на край ямки, начинает скатываться вниз к своей неминуемой гибели. Схватив добычу, личинка муравьиного льва впрыскивает в ее тело пищеварительные ферменты и буквально выпивает жертву, выбрасывая за пределы ловушки ее опустошенный хитиновый экзоскелет.

Личинка муравьиного льва.
Если же добыча оказалась уж больно прыткая и энергичная и пытается выбраться из ловушки, личинка начинает головой метать в нее песчинки, которые могут сбить с ног жертву. Таким же образом, буквально работая головой, личинки муравьиных львов строят свои ловушки. И вот именно процесс строительства заинтересовал ученых. Песок очень неоднородный и состоит из песчинок (крупиц) разного размера и, соответственно, веса (как снежинки, к примеру). Личинки муравьиных львов проводят строительство по спирали, сортируя крупицы песка в определенном порядке. Как и зачем — это вопросы, на которые ученые решили найти ответы.
Основа исследования
Ученые решили провести наблюдения в контролируемых условиях с применением песчаных крупинок трех определенных размеров и бумажного кольца, необходимого для определения размеров выбрасываемых крупиц, диаметра ловушки и других замеров.

Изображение №1: а — внешний вид ямы-ловушки личинки муравьиного льва (фото сделано на острове Гернси); b — изображение радиуса выброса крупинок в зависимости от их размера и веса; с — двумерное изображение спиральной траектории строительства ямы-ловушки: d — снимок края ямы-ловушки из эксперимента (мы можем видеть четкое разделение/сортирование гранул); е — модель ямы-ловушки, учитывающая правило Хеле-Шоу.
В качестве подопытных выступили 16 личинок муравьиных львов вида Euroleon nostras, которые были взяты с дикой природы (юго-восток острова Гернси). Ученые отмечают удивительное наблюдение: ямки этих личинок располагались под живыми изгородями, т.е. в кустарниках, а не на открытых песчаных пространствах, как это обычно бывает. Это, вероятно, попытка использовать кустарники как защиту от дождя. Кроме этого, ученые заметили, что личинки строили ловушки исключительно в местах, где было минимум мусора (опавших листьев, веток и т.д.). Одних только этих наблюдений достаточно, чтобы сделать предварительный вывод о неслучайном выборе места строительства ямы-ловушки.
Исследователи подготовили испытательную песчаную смесь из натурального сухого серебристого песка с пляжей острова Гернси, крупиц черного кремнезема (1-2 мм, в среднем 0,0078 г) и зерен синего кремнезема (1.5-3 мм, в среднем 0,028 г). В качестве строительных площадок использовались цветочные горшки высотой 14 см и глубиной 12 см. Каждый из строительных компонентов помещался в горшок в определенном порядке: в основе был 7 см слой натурального песка, потом до середины горшка (2,5 см от верхнего края) слой одной из 4 смесей из 20-30% крупных крупиц (черный или синий кремнезем) и 80-70% натурального песка. Сверху все накрывалось бумажным кольцом, необходимым для замеров, диаметром 12.6 см (отверстие — 4 см).
Всех личинок поместили в центр цветочных горшков. Большинство личинок начали строительство уже в течение первого часа наблюдений. А спустя порядка двух дней каждая из личинок построила себе яму-ловушку диаметром от 12 до 23 мм. Ученые собрали все крупицы, которые личинки выбрасывали во время строительства (они оказывались на бумажном кольце) и просеяли для сортировки. Расположение выброшенных цветных крупинок на бумажном кольце отмечалось вручную посредством фотографий. Ученые не захотели использовать автоматизированные методы, дабы получить более точные результаты.
Результаты наблюдений

Изображение №2: результаты лабораторных наблюдений.
Как видно по графику 2а личинки предпочтительнее избавлялись от более крупных крупиц. Синие и черные крупицы кремнезема было выброшено в 1.3 раза больше, чем их было в смеси. Также ученые заметили, что при увеличении размеров ямы число крупных крупиц в ее стенках уменьшалось (2с и 2d). Подобное наблюдение может быть связано с тем, что малые ямки не могут способствовать достаточной стратификации. То есть, схождение гранул (по типу лавины) при попадании жертвы в яму куда более вероятно при большем объеме самой ямы. В дополнение к этому сопутствующим фактором является именно более мелкие крупицы, поскольку у них угол естественного откоса меньше, посему сползание вероятнее.
Проще говоря, мелкие крупицы важны для личинок муравьиных львов, поскольку за их счет добыча вероятнее всего скатится к голодным жвалам, а не выберется со словами «фух, пронесло». Получается, что личинки строят ямы не бездумно, а вполне осознанно сортируя строительные материалы, обеспечивая максимальную эффективность будущей постройки.
Наблюдения наблюдениями, но для полного понимания архитектуры ловушек муравьиных львов ученые решили посмотреть как будет выглядеть вычислительная модель данной постройки.
Моделирование спирального копания
Прежде всего ученые отмечают, что личинки муравьиных львов строят свои ловушки не так, как это делают другие «копатели». Процесс выкапывания происходит по спирали, а не вертикально. И математическое моделирование может раскрыть секреты этого процесса.
В создании модели использовались предыдущие работы по самоорганизации в гранулированных средах. Ученые рассматривали смесь мелких и крупных гранул (крупиц) как одномерную решетку с узлами i = 1,2,…,L, представляющими поперечный разрез реальной экспериментальной ямы. Мелкие крупицы по объему и высоте это 1, а крупные — 2. Таким образом, высота на узле i, hi высчитывается из суммы малых и крупных крупиц на узле, где локальные уклоны на каждой из сторон равны ziLeft = hi — hi-1 и ziRight = hi — hi+1.
Оползень возникнет только, если среднее арифметическое по гранулам локального уклона превысит критическую отметку. Очевидно и то, что крупные крупицы будут стабильнее при более крутом склоне, чем мелкие. В свою очередь, мелкие крупицы, расположенные на крупных, более устойчивы, чем крупные на мелких. Данное условие необходимо для учета стратификации в математической модели.
Крупица может скатываться влево/вправо, если локальный наклон в соответствующую сторону превышает критическую отметку, zic. Если ziLeft и ziRight превышают критический показатель, то гранула будет скатываться в направлении самого крутого уклона или же в случайном направлении, если ziLeft = ziRight ﹥ zic.
Определение мощности (размера) оползня это общее число падений гранул в яме за определенный временной промежуток (t). Что касается веса, то он определяется по размеру самих гранул: большие вносят 2 к общему показателю, а малые — 1. Таким образом учитываются все гранулы, которые участвуют в оползне: первоначальные и те, что были захвачены потоком в процессе движения.

Изображение №3: результат спиральной модели при t=700 и изначальном радиусе r=25. Синим цветом отмечены мелкие крупицы, красным — крупные, а белым — смесь обоих с учетом того, что крупных не более 25%.
В первоначальном состоянии модели крупицы добавляются по размеру случайным образом пока hi = H или H+1, учитывая условие, что 25% от общего числа крупиц это именно крупные. Размеры «окна удаления/выброса» были выставлены как 5х5 (ширина на глубину) в соответствии с тем, что муравьиные львы выбрасывают на каждом шаге процесса выкапывания ямы. Данное «окно» было центрировано в определенном узле решетки, который может быть сдвинут в соответствии со спиральной траекторией копания. Программа может выбрасывать крупицы сколько угодно, пока не будет достигнуто стабильное состояние стенок моделируемой ямы-ловушки.
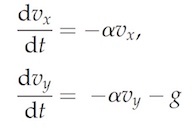
Ученые, использовав аппроксимацию Стокса и второй закон Ньютона, вывели формулу траектории выбрасываемых крупиц:

vx и vy — горизонтальный и вертикальный компоненты скорости крупицы;
g — гравитационное ускорение;
⍺ = g/vT — коэффициент сопротивления формы, где vT это конечная скорость крупиц: 150 см/с для мелких крупиц и 1000 см/с для крупных.
Изначальная скорость, с которой выбрасываются крупицы, такова: v0 = (70 + δv) см/с. А направление броска: θ0 = (50 + δθ)°.
Изначальный радиус ямы (r) равен 25. Модель проводит процесс копания на каждом узле по 4 раза, что обеспечивает спиральность удаления большей части крупиц. Спираль достигает центра после 8r шагов, а завершение ямы происходит, когда число больших крупиц в «окне удаления» падает ниже критической отметки.
Для понимания эффективности спирального метода формирования ям-ловушек ученые сравнили вышеописанную модель с тремя моделями с централизованным копанием: модель без перераспределения крупиц (они просто удаляются в процессе), модель без сопротивления крупиц (траектории мелких и крупных крупиц в таком случае одинаковы), модель с учетом сопротивления.
Результаты моделирования

Изображение №4: результаты моделирования.
Первый показатель, который стоит сравнить в моделях и реальном наблюдении, это число удаленных крупных крупиц. В спиральной модели крупных частиц по завершению копания стало в 1.4 раза меньше, чем было в изначальной смеси. Стоит отметить, что централизованные модели с/без сопротивления показали уменьшение только в 1.05 раза. Соответственно, с реальными наблюдениями соотносятся результаты именно спиральной модели, что подтверждает расчеты пропорциональности крупных и мелких крупиц в строительстве ям-ловушек.
Радиус смоделированной ямы составил 30 единиц, что при учете масштабирования практически идентично наблюдаемым в лабораторном эксперименте результатам личинок — 18 мм. Стоит отметить наблюдаемые средние радиусы, при которых удаление крупных крупиц сильно ускоряется для достижения большего радиуса ямы (скачок на графике 4с).
По завершению строительства стенки ямок-ловушек личинок практически полностью покрыты мелкими крупицами. Подобное наблюдалось во всех моделях, однако только у спиральной этот процесс выполнялся быстрее.

Таблица сравнения показателей различных моделей, описанных выше. Как мы видим, именно спиральные варианты моделей оказались самыми эффективными.
Соотношение между изначальным радиусом (r ≈18), для которого время завершения сведено к минимуму (сильный спад на графике 4d), и окончательным радиусом ямы, спрогнозированным моделью, равно 0.60.
Если говорить о затратах времени, то и тут спиральный метод копания лучше других. При изначальном радиусе в 25 для спиральной модели понадобилось вдвое меньше времени на завершение яме, чем другим моделям. Сравнение данных показало, что спиральная модель уменьшает время на завершение ям на 60% с конечным диаметром в диапазоне 10…42 единиц, т.е. 6-25 мм в реальности, что было подтверждено результатами наблюдений в лабораторном эксперименте.
Для более детального ознакомления с нюансами исследования настоятельно рекомендую заглянуть в доклад исследовательской группы.
Эпилог
Порой, наблюдая за насекомым, задумываешься о том, что на уме у этого маленького создания. Понимает ли оно как устроен мир, осознает ли те физические процессы, которые его окружают, пользуется ли оно ими? Данное исследование может и не ответит на вопрос «осознает ли?», но более чем утвердительно отвечает на вопрос «пользуется ли?».
Выкопать яму это просто, по крайней мере на первый взгляд. Однако яма-ловушка должна быть максимально эффективной, ибо от ее успешности зависит жизнь того, кто ее построил. Если бы личинки муравьиных львов не применяли спиральную модель копания, не сортировали бы крупицы песка, то пропитание им бы не доставалось так легко.
Личинки муравьиных львов хоть и являются жуткими хищниками с большими жвалами, но они предпочитают использовать свой интеллект как главное и самое эффективное оружие в борьбе за жизнь в суровых условиях дикой природы. Правда, без огромных жвал и растворяющего внутренности жертвы яда им было бы сложнее.
Жутковатый ролик о том, как охотится личинка муравьиного льва (не хотелось бы оказаться на месте несчастного муравья).
Думаю, многие из вас догадались к какому произведению игровой индустрии есть отсылочка в названии данной статьи. Муравьиные львы там были крупнее и опаснее реальных, но глава с их участием запомнилась мне не так сильно, как глава «Мы не ходим в Рейвенхолм», от которой у меня всегда мурашки по спине.
Благодарю за внимание, оставайтесь любопытствующими и отличных всем выходных, ребята.
Спасибо, что остаётесь с нами. Вам нравятся наши статьи? Хотите видеть больше интересных материалов? Поддержите нас оформив заказ или порекомендовав знакомым, 30% скидка для пользователей Хабра на уникальный аналог entry-level серверов, который был придуман нами для Вас: Вся правда о VPS (KVM) E5-2650 v4 (6 Cores) 10GB DDR4 240GB SSD 1Gbps от $20 или как правильно делить сервер? (доступны варианты с RAID1 и RAID10, до 24 ядер и до 40GB DDR4).
(KVM) E5-2650 v4 (6 Cores) 10GB DDR4 240GB SSD 1Gbps до лета бесплатно при оплате на срок от полугода, заказать можно тут.
Dell R730xd в 2 раза дешевле? Только у нас 2 х Intel Dodeca-Core Xeon E5-2650v4 128GB DDR4 6x480GB SSD 1Gbps 100 ТВ от $249 в Нидерландах и США! Читайте о том Как построить инфраструктуру корп. класса c применением серверов Dell R730xd Е5-2650 v4 стоимостью 9000 евро за копейки?
Автор: Dmytro_Kikot
