Главная сила человеческого разума – это способность видеть и строить связи, охватывающие разные сферы нашей деятельности. При этом иногда мы действуем по наитию. Приобретаем привычки, которые оказывают огромное влияние на всю нашу жизнь. И этот материал наглядно и научными доводами показывает, как элементарный ЗОЖ помогает жить на порядок качественнее и эффективнее. Продлевая функциональные годы.
Рубрика «корреляция»
Взаимосвязь температуры и населения
2022-07-03 в 17:52, admin, рубрики: big data, Анализ и проектирование систем, взаимосвязанные данные, взаимосвязи, взаимосвязь всего со всем, корреляция, корреляция данных, математика, машинное обучение, население, Научно-популярное, температураПогодные условия на планете и в конкретном регионе в частности влиют на всю социальную жизнь общества: так колебание температурыЧитать полностью »
Запрещая распознавание лиц, мы упускаем суть
2020-01-27 в 6:46, admin, рубрики: miran, анонимность, Блог компании Дата-центр «Миран», Бпюс Шнайер, будущее здесь, дискриминация, Законодательство в IT, идентификация, информационная безопасность, Киберпанк, корреляция, массовая слежка, общество наблюдения, приватность, распознавание лиц, тотальный контрольВесь смысл современной слежки — различать людей, чтобы по-разному относиться к каждому. Технологии распознавания лиц — лишь малая часть системы тотального наблюдения
Автор эссе — Брюс Шнайер, американский криптограф, писатель и специалист по информационной безопасности. Член совета директоров Международной ассоциации криптологических исследований и член консультативного совета Информационного центра электронной приватности. Эссе опубликовано 20 января 2020 года в блоге автора и в газете The New York Times.
Сообщества озабоченных граждан по всей территории США начинают запрещать технологии распознавания лиц. В мае прошлого года их запретили в Сан-Франциско, вскоре последовал соседний Окленд, а также Сомервилл и Бруклин в Массачусетсе (запрет могут распространить на весь штат). В декабре Сан-Диего приостановил программу распознавания лиц в преддверии вступления в силу нового закона. Сорок крупнейших музыкальных фестивалей пообещали не использовать эту технологию, а активисты призывают к общенациональному запрету. Многие кандидаты в президенты от Демократической партии поддерживают хотя бы частичный запрет на распознавание лиц.
Эти усилия продиктованы благими намерениями, но запрет на распознавание лиц — неверный ответ на проблему современной слежки. Внимание к одному конкретному методу идентификации отвлекает от природы того общества наблюдения, которое мы строим, где повсеместная массовая слежка становится нормой. В странах вроде Китая правительство создаёт инфраструктуру тотального наблюдения для контроля над обществом. В странах вроде США она создаётся корпорациями, чтобы влиять на покупательское поведение, и попутно используется правительством.
Читать полностью »
Монте-Карло моделирование в Mathcad Express
2016-01-20 в 5:59, admin, рубрики: Mathcad Express, Алгоритмы, Блог компании Нерепетитор.ру, гистограмма, корреляция, математика, монте-карло, случайные числа, метки: Монте-КарлоНа Хабре много статей посвящено алгоритмам Монте-Карло, например, вот эта, вчерашняя. Как основная идея, так и реализация методов весьма несложная, но небольшим препятствием может служить отсутствие под рукой подходящих инструментов для моделирования. Тем из читателей, для кого проблема актуальна, советую использовать бесплатный математический редактор Mathcad Express, про который я и пишу в моем блоге.
Mathcad Express — это «легкая» версия известного пакета PTC Mathcad Prime, в которой большая часть функционала выключена. Тем не менее, датчики псевдослучайных чисел остаются доступными, что позволяет реализовать (довольно быстро и наглядно) различные статистические модели на основе алгоритмов Монте-Карло. Сразу оговорюсь, что некоторые решения будут не самыми лучшими, с точки зрения пользователей коммерческой версии Mathcad Prime, однако, они гарантированно не выведут нас за пределы функционала бесплатного Mathcad Express.
Напомню, что алгоритмы Монте-Карло — это общее название группы численных методов, основанных на программном создании определенной последовательности псевдослучайных чисел, моделирующей тот или иной эффект, например, последовательность отказов техники. Получив большое число реализаций случайного процесса, можно надеяться, что его вероятностные характеристики совпадут с аналогичными величинами решаемой задачи «реального мира». Файл с дальнейшими расчетами в форматах Mathcad и XPS лежит здесь.
Часть 1. Как сгенерировать выборку псевдослучайных чисел
В Mathcad Express доступен ряд генераторов псевдослучайных чисел, создающих выборки псевдослучайных данных с различными законами распределения. Для создания вектора из N псевдослучайных чисел нужна всего лишь одна строка Mathcad-документа. Например сгенерировать N=5 псевдослучайных чисел с нормальным распределением (нулевым средним и единичной дисперсией) можно так:

Векторы случайных чисел удобно визуализировать на графиках так: одна выборка (т.е. компоненты одного из случайных векторов T1) по оси абсцисс, а другая выборка (другой случайный вектор T2) – по оси ординат. На следующем рисунке приведены графики пар псевдослучайных чисел для экспоненциального (слева) и нормального (справа) распределения. Параметры распределений задаются в формулах над графиками.

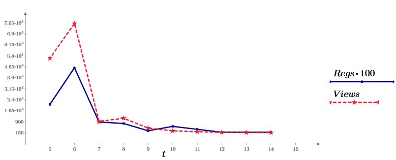
Машинное обучение — 1. Корреляция и регрессия. Пример: конверсия посетителей сайта
2015-02-15 в 19:06, admin, рубрики: machine learning, statistical learning, Блог компании Нерепетитор.ру, визуализация данных, конверсия сайтов, корреляция, линейная регрессия, математика, математика и реальная жизнь, машинное обучение, метод наименьших квадратов, монте-карло, статистикаКак и обещал, начинаю цикл статей по «машинному обучению». Эта будет посвящена таким понятиям из статистики, как корреляция случайных величин и линейная регрессия. Рассмотрим, как реальные данные, так и модельные (симуляцию Монте-Карло).
Часть 1. Реальные данные
Чтобы было интереснее, рассказ построен на примерах, причем в качестве данных (и в этой, и в следующих, статьях) я буду стараться брать статистику прямо отсюда, с Хабра. А именно, неделю назад я написал свою первую статью на Хабре (про Mathcad Express, в котором и будем все считать). И вот теперь статистику по ее просмотрам за 10 дней и предлагаю в качестве исходных данных. На графике это ряд Views, синяя линия. Второй ряд данных (Regs, с коэффициентом 100) показывает число читателей, выполнивших после прочтения определенное действие (регистрацию и скачивание дистрибутива Mathcad Prime).

